光泽度仪,又称为镜向(或镜面)反射光度计,主要用于测量样品的镜面反射光,是测量油漆、纸张、塑料、搪瓷、陶瓷、铝及铝合金等平面制品表面光泽度的光电仪器。那么,光泽度仪几何条件有哪些?光泽度仪有几种光路结构?本文为大家做了介绍,对此感兴趣的朋友可以了解一下!

800彩票光泽是物体表面的一种外观模式,由于表面对入射光具有方向选择性,因而会使人感觉物体反射的亮光好像重叠在该表面上,使物体产生闪闪发亮的外表。光泽与物体表面的镜面反射光紧密联系,镜面反射方向就是光泽最强的方向,因比,光泽的测量总是延着镜面反射方向进行的。只有进行对比光泽测量时,才再取其他方向一起测量。光泽也是心理物理量,单位为“光泽单位”。
光泽的测量也是用比较测量法,即在相同条件下,相对于镜向光泽度标准板,对样品的光泽度进行测量。相同条件指的是:在一定的入射角度下,以规定条件的光束照射样品(或标准板),在镜面反射方向上以规定的条件接收反射光束。
镜向光泽标准板一般是用nD=1.567的抛光的平面黑玻璃板。标准板定义为100.0光泽度单位。当然有关行业也采用多种标准板。
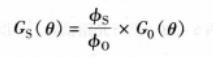
光泽度用符号Gs(θ)表示,其中θ表示入射角,当然镜反射角为-θ,计算公式是:

式中,Gs(θ)为样品光泽度;G0(θ)为标准板光泽度(已知);Φs为测样品时的光通量;Φ0为测标准板时的光通量。
800彩票镜向光泽度计的几何条件主要是指入射角的大小,有关测试标准对入射角和接收角及其公差也作了规定。入射角在光泽测量中极为重要,通常用 20°,45°,60°,75°,85°,它们分别用于不同样品的测量。一般来说,大角度用于低光泽样品,小角度用于高光泽样品,中角度使用范围较宽。下 是有关标准推荐的使用举例。

按光泽度计的照明光束和接收光束分,光泽度计有两类:一类是平行光路,另一类是会聚光路。
800彩票按入射角分:有定角式和变角式两种。
从光源发出的光,经过照明透镜正确地照到样品上,由接收透镜在镜面反射方向上将光束送给探测器,将光信号转换成电信号,经放大等处理后输出,完成光泽度的测试。
800彩票下图所示为平行光照明的光路图。

800彩票下图所示为会聚光照明的光路图。

探测器通常校正为具有y(λ)光谱响的特性。