光泽度仪是用来测量油漆、纸张、塑料、家俱、陶瓷、搪瓷、大理石、橡胶、油墨、皮革、钻石及各种织物制品表面光泽度的一种仪器。光泽度的测量,关键在于规定测量条件,但不同材料表面性质的不同,就需要选择不同的测量条件。本文对光泽度仪的设计依据及光路结构进行了介绍,对此感兴趣的朋友可以了解一下!

光泽度的测量,关键在于规定测量条件。由于材料性质以及光泽级别不同,需要选择不同的镜向角和光束的入射条件及接收条件,为此,各国制订了一系列不同的测试标准。例如:
ASTM C 346:陶瓷材料45°镜向光泽的测量;
ASTM C 584:白色釉瓷60°镜向光泽的测量;
800彩票ASTM D 523:色漆及其 制品20°,60°,85°镜向光泽的测量;
ASTM D 1223:纸张及其制品75°镜向光泽的测量;
800彩票ASTM D 1455:地板漆60°镜向光泽的测量;
800彩票ASTM D 1834:腊纸20°镜向光泽的测量;
800彩票ASTM D 2457:塑料薄膜20°、45°和60°镜向光泽的测量;
ASTM E 430:高光泽金属表面45°镜向光泽的测量;
800彩票TAPPI T 653:腊纸20°镜向光泽的测量;
TAPPI T 480:纸张及其制品75°镜向光泽的测量;
800彩票JIS Z 8741:统一的光泽测试标准。
800彩票目前,以下三项标准为国际标准
ISO 2813--1978(E):色漆及清漆——非金属颜料色膜20°、60°和85°镜向光泽的测量;
800彩票ISO/TC6/SCZN 801(草案):纸及其制品75°镜向光泽的测量;
ISO 2767-1973(E):金属表面处理——铝及其合金阳极氧化45°镜向光泽的测量。
国际照明委员会2.3光泽研究小组是专门从事研究光泽理论和测试手段的国际性组织。
由光泽度测量标准可以看出,测试不同材料的光泽度时,应选用不同的测量角度。一般来说,大角度测量低光泽样品,小角度测量高光泽样品。
800彩票光泽度是物体外观的一种特性。它描述材料表面反射光的空间几何分布。测量样品表面的光泽度有各种方法,目前国际上大多数采用镜向反射法。这种方法是在规定的入射角下,以一定的照明条件的光束分别照射标准板及被测样品,并在镜向反射角上,按规定的接收条件来测量样品和标准板的反射光。
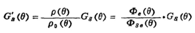
由光泽度定义可知:

式中:ρ(θ)——被测试样在θ角方向的镜面反射比;
800彩票ρ0(θ)——标准板在θ角方向的镜面反射比;
Gs(θ)——标准板的理论光泽度值;
800彩票Фs(θ)——被测试样在θ角方向的反射光通量;
Фse(θ)——标准板在θ 角方向的反射光通量。
光泽度仪光学系统有二种光路结构,图(a)是平行光路结构;图(b)是会聚光路结构。如果这两种结构有相同的照明视场角和接收视场角,相同的光源,则这两种结构是等效的。
