纸张的光泽度是纸张重要的外观属性,它直接影响印刷品的外观色泽的呈现,因此,对纸张光泽度进行定量的测量,是保证印刷品质量的前提。本文对纸张光泽度测量方法及纸张光泽度与表观平滑度之间的关系做了详细的介绍,对纸张光泽度知识感兴趣的朋友不妨了解一下!

测量纸张光泽度使用光泽度仪,大多数光泽度仪是测量物体表面镜面反射率,即镜面光泽度。光泽度仪由光源、产生平行光束的校正棱镜、限制平行光束的光栅和镜面方向反射光检测装置组成。测量时,将纸张反射率与已知反射率的物体进行比较。通常采用一块抛光黑,玻璃作为工作标准。在入射角为75°下,抛光黑玻璃镜面反射光为入射光的26%,但用它将仪器调至100%,所以,镜面反射13%,入射光的纸张仪器的读数将为50%,实验结果以50%报告。为什么要用黑玻璃而不用白玻璃作为标准工作板呢?这是由于黑色玻璃能吸收所有进入玻璃的光,因而无扩散反射光,射到检光计的光也就全是镜面光;若用白色玻璃作为标准板,镜面反射光量与黑玻璃相同,但有扩散反射光掺在里面,影响测量的结果。所以,用黑玻璃优于白玻璃。
光泽度测量时,所选光入射角度不同,结果也不同。入射角越大,镜面反射率越大,光泽度值越高,反之亦然。由此可见,光泽度值的高低不仅取决于物体的表面特性,而且取决于测量角度。在具体测量时,根据纸张表面光泽度级别不同,可采用不同的测量角度。研究发现,对于大多数纸张,75°角是最好的测量角度,蜡纸采用20°角,高光泽的涂料纸,常采用45°角、60°角,在报告测量结果时,必须注明所用仪器和测量角度。目前许多光泽度仪的测量角是可调的,可任意选择。
800彩票此外,进一步的研究还发现,光泽度值不仅受测量角度的影响,而且还受照明和观察所采取的角度范围的影响。下图为45°角照明,不同角度观察纸张表面反射光的相对量。图中两条曲线分别代表涂料纸和非涂料纸的情况。由图可见,涂料纸表面平滑均匀,45°角观察时(镜面方向),其相对反射光量有一个高而窄的峰。因此在光泽度测量时,测量角度只要有轻微的变化都会明显地影响测量结果,所以角度必须精确控制。非涂料纸的反射率分布曲线则相当平缓。从图中可以看出,其最大反射率并不在45°角,而是偏移到约55°角左右的方向上。这是因为非涂料纸表面粗糙,当平行光束照射到这样的表面时,入射角在表面上各点是不相等的,有的大于45°,有的小于45°。如果这两种情况的概率相等,则由于角度大于45°的方向上的反射光多,造成最大反射率偏移到了大于45°的方向上。

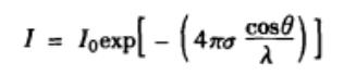
800彩票光泽度和平滑度都是物体的表面特性,二者均取决于物体表面的微观结构。入射光强度与物体表面镜面反射光强度之间存在如下关系:

式中:I0——入射光的强度;
I——镜面反射光的强度;
θ——入射角;
λ——光的波长;
σ——用步高分布标准差表示的物体的表面粗糙度(又称为均方根粗糙度)。
有人具体研究了纸张的光泽度与表面均方根粗糙度之间的关系,发现用外观轮廓法和光学法所测平均粗糙度的平方。σ2与TAPPI光泽度(由美国制浆和造纸工业技术协会规定的测试方法测量的光泽度)之间存在良好的相关性(相关系数为0.91),如下图所示。

由图可见,σ2值越大(即表面粗糙度越大),TAPPI光泽度值越小。用其它方法测量平滑度时,由于都是在一定压力下进行测量,测量结果与光泽度之间的相关性很差,下表所示的为 75°角镜面光泽度值与几种平滑度测定方法测量值之间的相关系数结果。从表中可见,它们之间的相关性很差。这表明,光泽度仅与物体表面的表观平滑度相关,而与一般在压力状态下测得的平滑度之间没有多大相关。

如果把未压光纸面看成一系列的峰谷,则可看到在垂直方向上点之间形成若干不等的角度,光照射在这样的表面上,将向各个方向反射。如果纸张经过压光后,峰顶被压平,所有平面区域都在同一平面上,照射在这些平顶上的平行光束具有相同的入射角,因而以平行光束反射。平行反射光的量取决于平顶所占的百分比,强的压光,形成的平面区域大,光泽度也就高。
纸张经涂布后,涂料中的细微粒子填满了原纸表面的凹凸处,使纸面的平滑度得到提高,但还不能有效地提高光泽度。只有再经过超级压光处理,使纸面受到强烈摩擦后,光泽度才会有飞跃性的提高。这是因为纸张表面的平滑度虽有所提高,但其表面仍是有相当多的细微凹凸不平现象,仍然使相当多的光扩散反射。经过超级压光处理后,大大减少了纸面的细微凹凸不平,平滑度得到提高,光泽度也显著地上升。当然,除了超级压光处理外,涂布量对光泽度的影响也是相当重要的。当涂布量低到不足以掩盖纸面的凹凸不平时,再如何进行超级压光处理,也不能使光泽得到显著的提高。