光泽度仪作为光电仪器,是利用光反射原理对试样的光泽度进行测量。即在规定入射角和规定光束的条件下照射试样,得到镜向反射角方向的光束。光泽度仪由光源、透镜、接收器和显示仪表等组成。本文对光泽度仪的测量原理及光泽度仪的特性做了介绍,对此感兴趣的朋友可以了解一下!

光泽是物体表面的一种外观模式,由于表面对入射光具有方向选择性,因而会使人感觉物体反射的亮光好像重叠在该表面上,使物体产生闪闪发亮的外表。光泽与物体表面的镜面反射光紧密联系,镜面反射方向就是光泽最强的方向,因比,光泽的测量总是延着镜面反射方向进行的。只有进行对比光泽测量时,才再取其他方向一起测量。光泽也是心理物理量,单位为“光泽单位”。
光泽的测量也是用比较测量法,即在相同条件下,相对于镜向光泽度标准板,对样品的光泽度进行测量。相同条件指的是:在一定的入射角度下,以规定条件的光束照射样品(或标准板),在镜面反射方向上以规定的条件接收反射光束。
镜向光泽标准板一般是用nD=1.567的抛光的平面黑玻璃板。标准板定义为100.0光泽度单位。当然有关行业也采用多种标准板。
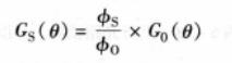
光泽度用符号Gs(θ)表示,其中θ表示入射角,当然镜反射角为-θ,计算公式是:

800彩票式中,Gs(θ)为样品光泽度;G0(θ)为标准板光泽度(已知);Φs为测样品时的光通量;Φ0为测标准板时的光通量。
传统的光泽度测量原理如下图所示。三个发光二极管分别在不同时刻从三个角度产生光源,光电池接收反射过来的光信号并产生电压。

G——光源;
L1和L2——透镜;
B——接收器视场光阑;
P——被测试样;
ε1=ε2;
σB——接收器孔径角;
σs——光源象角;
I——光源影像。
1.几何条件
800彩票入射光线的轴线应分别与测量平面的垂线成(20±0.1)°、(60±0.1)°、(85±0.1)°,入射光束的孔径为18mm。接收器的轴线与入射光线轴线的镜像的角度在±0.1°之内。在试验板位置放置一块抛光黑玻璃平板或正面反射镜时,光源的镜象应在接收器视场光阑(接收器窗口)的中心位置形成(如上图所示)。为了确保覆盖整个表面,试验板面照射区域的宽度应尽可能大于表面结构:一般值为不小于10mm,光源镜像和接收器的孔径以及相关尺寸及其允许偏差应符合下表的规定。接收器视场光阑的孔径尺寸可从接受透镜测得。

2.接收器中的滤光
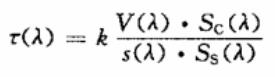
接收器中滤光器的滤光修正函数τ(λ)按下式计算:

式中:
τ(λ)——修正函数;
800彩票V(λ)——CIE光的发光效率;
Sc(λ)——CIE标准照射C的光谱强度;
s(λ)——接收器的感光灵敏度;
800彩票Ss(λ)———照射光源的光谱强度;
k——校准系数。
800彩票注:选择偏差的目的是使光源和接收器孔径的误差在100光泽单位内的任何读数不会产生超过1光泽单位的读数误差。
3.晕映
在光泽度仪几何条件中规定的张角范围内不应出现晕映。
4.接收器
在满刻度读数的1%范围内,接收器测量装置给出的读数应与通过接收器的光通量成正比。