纸张光泽度计800彩票是测量纸与纸板光泽度的专用仪器,用于检测纸与纸板20°角、75°角镜面光泽度等指标。想要保证纸张光泽度计测试性能的稳定性或测试结果的准确性,就需要定期对仪器进行检定。那么,纸张光泽度计怎么检定?本文对纸张光泽度计检定方法做了详细的介绍,对此感兴趣的朋友不妨了解一下!

1.计量性能要求
800彩票光泽度计准确度(最大允许误差)应符合下表的要求。

2.通用技术要求
800彩票(1)外观和各部分的相互作用
①光泽度计外观表面应无碰伤、划伤、锈斑及影响测量准确度的其他缺陷。
②光泽度计应有标牌和必要的标记,主要内容包括:出厂日期、编号或生产批号;制造厂名;光泽度仪名称、型号;制造计量器具许可证标记等。
(2)调零、调准功能
光泽度计测量装置应有按键调零、调准功能。
(3)光泽度计测量值显示装置
800彩票光泽度计光泽度值指示装置应及时准确地显示出测试出的光泽度值。
3.纸张光泽度仪检定条件
800彩票(1)检定环境条件应符合下列要求:
①环境温度:10℃~30℃;
②环境湿度:相对湿度<80%;一工作电源电压的波动范围应不超出额定电压的±10%;
800彩票③工作台稳固,台面平整;
800彩票④环境清洁,无震动和腐蚀性气体。
800彩票(2)检定使用的计量标准器具、量具和工具包括:
800彩票①高光泽标准工作板,表面经精密抛光的黑玻璃平板,光泽度量值由上级计量部门标定;
800彩票②中光泽标准工作板,表面平整均匀的中光泽度瓷板,光泽度量值由上级计量部门标定;
③通用量具和工具。
1.纸张光泽度计检定项目
纸张光泽度计检定项目,参考下表内容:

2.纸张光泽度计检定方法
(1)外观和各部分的相互作用
800彩票要求:应符合上述通用技术的相关要求规定。
检定方法:目测、实测和操作检定。
(2)调零、调准功能
要求:符合上述调零、调准功能的相关要求规定
检定方法:按要求进行实际操作实验和观察。
(3)显示装置
要求:符合上述光泽度计测量值显示装置的相关要求规定
800彩票检定方法:目测、实测,确定仪器具有正确显示功能。
(4)准确度
要求:光泽度计准确度符合上述计量性能要求的相关规定。
检定方法:
①零点漂移
接通光泽度计电源使其处于工作状态,按照仪器说明书规定的时间预热,把黑阱置于测量孔上调整零点,连续10min观察并测量零点漂移,其最大偏移量为零点漂移,零点漂移应符合计量性能要求中零点漂移量要求。
②示值漂移
将高光泽标准工作板置于工作预热并调好零点的光泽度计的测量孔上,处于测量状态1min后,调准光泽度计使仪器测量显示该标准工作板的标定值,连续观察并测量10min(每一分钟测量一次),记录最大漂移量,其绝对值即为示值漂移量,示值漂移量按下式计算,并应符合计量性能要求示值漂移的要求。

式中:△——示值漂移量;Gm——各次测量值;G1——10次测量平均值。
③测量准确度和重复性
800彩票将光泽度计用黑阱调零,再用高光泽标准工作板调准,然后测量中光泽标准工作板,每隔5s测量一次,重复测量四次,取平均值,其值与中光泽标准工作板标定值之差取绝对值即为测量准确度误差,按下式计算。

800彩票式中:α——准确度误差;G2——四次测量平均值;G——中光泽度标准板标称值。
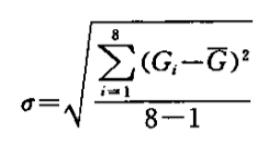
每隔5s测量一次,测量中光泽板8次,重复性误差。按下式计算,并应符合计量性能要求中测量重复性要求。

800彩票式中:σ——重复性误差;G;——各次测量值;G—8次测量平均值。
(5)标准工作板的检定
800彩票高光泽度标准工作板,必须定期送计量部门检定。
(6)检定结果的处理
800彩票①经检定合格的纸张光泽度仪发给检定证书,检定不合格的纸张光泽度仪发给检定结果通知书,并注明不合格项目。
800彩票②检定证书内页应注明检定条件、检定项目、检定结果。
(7)检定周期
检定周期一般不超过一年。