光泽度仪作为光电仪器,是利用光反射原理对样品的光泽度进行测量。即:在规定入射角和规定光束的条件下照射样品,得到镜向反射角方向的光束。那么,光泽度仪的入射角、接受角和光束角怎么计量检查?本文对光泽度仪入射角、接受角和光束角计量检查方法作了介绍。

800彩票光泽度计是利用光反射的原理对样品的光泽度进行测量,在规定入射角和规定光束的条件下照射样品,得到镜向反射角方向的光束。用光泽度计测定试样表面反射光通量与入射光通量的比值,即用反射率来评定表面光泽的强弱。光泽度计由光源、透镜、接受器和显示仪表等组成。按光泽度计的照明光束和接收光束分,光泽度计有两类:一类是平行光路,另一类是会聚光路。
按入射角分:有定角式和变角式两种。
从光源发出的光,经过照明透镜正确地照到样品上,由接收透镜在镜面反射方向上将光束送给探测器,将光信号转换成电信号,经放大等处理后输出,完成光泽度的测试。
800彩票下图所示为平行光照明的光路图。

800彩票下图所示为会聚光照明的光路图。

其中:θ1——入射角;θ2——反射角;α1——测量平面(由入射光轴及反射光轴组成的平面)内的入射张角;α2——测量平面内的反射张角;β1——垂直于测量平面的人射张角;β2——垂直于测量平面的反射张角;S1——人射方视场光阑;S2——反射方视场光阑;S3——孔径光阑
探测器通常校正为具有y(λ)光谱响的特性。
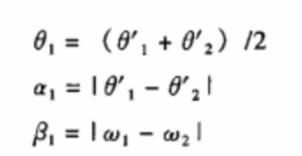
1.入射角及光束张角的检查方法
800彩票将测角装置的平行光管设置在θ角上,调节光泽度计的测量平面,使其反射张角光的像与平行光管的十字线平行。旋转测角装置的水平度盘,使平行光管的十字线与发射张角光像的左、右两边相切,读得θ'1,θ'2。旋转平行光管的垂直度盘,使平行光管的十字线与发射张角光像的上、下两边相切,读得角度ω1,ω2。
按下式计算:

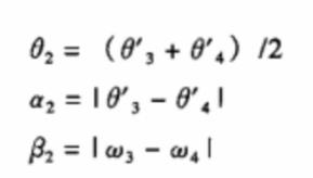
旋转测角装置的水平度盘,使平行光管的十字线与张角光像的左、右两边相切,读得角度θ'3,θ'4旋转测角装置的垂直度盘,使平行光管的十字线与接受张角光像的上、下两边相切,读得角度ω3,ω4。
按下式计算:

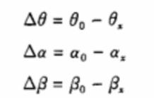
3.入射角、接受角和光束角允许误差计算方法

式中:
θ0,α0,β0800彩票——光泽度计设计的标称值;
θx,αx,βx——实际测量值。
允许误差见下表:
