虽然现在很多光泽度仪都带有自动校准功能,还是有很多用户会在校准设置上出现状况,导致测量结果不精准,下面小编就详细介绍一下光泽度仪使用校准设置方法!

校准光泽度仪校准原理:
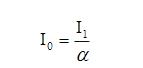
在YG60光泽度产品中,开机第一步进行工作是校准。首先,用已知光泽度值的校准板进行测量,设此校准板的光泽度值为α,光源发出的光光强为I1,光电池检测到的光强度为I0。通过校准过程可知光源光强为:

校准的目的是消除每次开机光源强度的变化和环境变化对测量产生的影响。校准这一步非常重要,如果校准做的不好,测量就会受很大影响。所以在校准过程中,一定要保证光泽度计底面和校准板接触得非常紧密。我们在研发中也保证了光泽度底面的加工精度。
校准光泽度仪校准详细步骤:
800彩票 1、完成开机进入图1测量界面,

图1
800彩票 2、点显示屏上 “ 主菜单 ” 区域进入主菜单,如图2所示。

图2
3、在主菜单中选择 “ 校准 ” ,进入 “ 校准 ” 菜单界面,如图3所示。

图3
点击 “校准” ,显示界面将会提醒放好校准板盒,确保仪器与校准板盒卡紧,点击 “ 确定” 或按 “开关/测量按键”进行校准。 当仪器使用环境发生变化时(比如温度、海拔、湿度等剧烈变化时),仪器一定要进行校准。为确保校准的精确,请使用原厂提供的标准板。标准板上的灰尘会影响校正效果,校准前,请用擦拭布擦拭标准板工作面,确认工作面干净。标准板属于精密光学元件,要避免在光线下曝晒,要妥善保管。由于环境的因素,标准板的光度数据会随着时间发生变化。因此,我们建议您将标准板定期送回原厂或有资质的计量研究院进行校验测试(建议每年一次)。
以上就是小编搜集整理的“校准光泽度仪使用校准设置”全部内容,想了解更多行业资讯的小伙伴,可以继续关注我们平台的后续更新!