镜向光泽度仪是什么?我们知道光泽度仪其实就是用来测量物体表面光泽程度的一个仪器设备,本文就为大家介绍一下光泽度的含义以及镜向光泽度仪原理。

什么是镜向光泽度仪?
800彩票 镜向光泽度仪简称光泽度仪,又被称为镜向反射光度仪。主要用于测量样品的镜片反射光。是测量油漆、纸张、塑料、搪瓷、陶瓷、铝及铝合金等表面光泽度的仪器。
光泽是物体表面的一种外观模式,由于表面对入射光具有方向选择性,因而会使人感觉物体反射的亮光好像重叠在该表面上,使物体产生闪闪发亮的外表。光泽与物体表面的镜面反射光紧密联系,镜面反射方向就是光泽最强的方向,因此,光泽的测量总是沿着镜面反射方向进行的。只有进行对比光泽测量时,才敢取其他方向一起测量。光泽也是心理物理量,单位为“光泽单位”
镜面光泽度测定技术的不断进步,赖于国际上新兴涂料开发、标准化事业进程和多种光、电元器件创新及微电子技术的发展与应用。因此,尤以近二十年来,镜面光泽度仪的开发经历了如下技术改革,主要体现在:
1、入射角度由固定的单一角度发展为一机多角度测量。
2、制式结构从台式向便携式、日趋微型化发展。
800彩票 3、测量值由表头指示、液晶数显拓展至数据打印。
4、测控功能从单一测量、具有部分统计功能趋向智能化。
5、检测方式从静态测定发展到在线监测,拓宽其应用范围。
镜向光泽度仪原理:
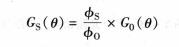
光泽的测量也是用比较测量法,即在相同条件下,相对于镜向光泽度标准板,对样品的光泽度进行测量。相同条件指的是:在一定的入射角度下,以规定条件的光東照射样品(或标准板),在镜面反射方向上以规定的条件接收反射光東。镜向光泽标准板一般是用n=1,56的抛光的平面黑玻璃板。标准板定义为100.0光泽度单位。当然有关行业也采用多种标准板。光泽度用符号Gs(θ)表示,其中Q表示入射角,当然镜反射角为-θ,计算公式是

800彩票 式中,Gs(θ)为样品光泽度;Go(θ)为标准板光洋度(已知);Φs为测样品时的光通量;Φo为测标准板时的光通量。
以上就是小编搜集整理的“镜向光泽度仪是什么”全部内容,想了解更多光泽度仪行业资讯的小伙伴,可以继续关注我们平台的后续更新!