光泽度是检测陶瓷外观质量的一项重要的物理指标,光泽度高的陶瓷表面光亮,色泽艳丽,光泽度低的陶瓷,表面暗淡无光,而消费者往往青睐于光泽度高的陶瓷。因此,就有必要对陶瓷的光泽度进行测量。本文对陶瓷光泽度影响因素及测定方法做了介绍。

光泽度是陶瓷的一项物理指标,光泽度主要与光线在表面的镜面反射和漫反射的相对量有密切关系。当表面光滑时,光线以镜面反射为主,光泽度就高;反之,以漫反射为主,光泽度就差。光泽度高的陶瓷,瓷面显得细腻、高雅。
800彩票陶瓷的光泽度主要与釉面饱和度、釉面针空、釉面缺陷等有关,而以上问题又与釉料配方、施釉厚度、原料纯度、烧成温度等有关。不同用途陶瓷对表面光泽度要求不同。日用陶瓷,艺术陶瓷与卫生陶瓷等通常要求表面有比较好的光泽,以提高陶瓷外观质量与有利于清洗。而室内外装饰陶瓷就不宜表面光泽太强,甚至要求无光泽。
800彩票在陶瓷的生产过程中,影响陶瓷光泽度的因素有很多,但主要有以下几种:
1.基底材料的影响
800彩票基底材料对陶瓷颜料光泽度的影响主要取决于它本身的规整性,其材质本身的颜色(在色膜覆盖下)影响较小。因此、对基底材料的规整性应严格控制。
2.色膜厚度的影响
色膜厚度的差异也将对陶瓷颜料光泽度值产生影响,因此为满足制备陶瓷花纸的工艺要求,选择35μm的色膜厚度,以便统一测量方法。
3.彩烧温度的影响
陶瓷颜料的光泽度值(在彩烧温度范围内)随着彩烧温度的升高而增大。所以,制备试样必须在相同彩烧温度条件下进行。

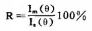
按GB3295日用陶瓷器光泽度测定方法或其修订标准的规定,陶瓷器表面的光泽度定义为白光光束以一定角度入射时祥品表面反射光的能力。

如上图所示令一定截面大小的光束以一定角度日投射到被测样品的表面,在釉层表面的镜面反射方向测量其反光量;并规定折射率ND=1.567的黑色玻璃的反光量为100%。被测产品的反光量与此标准之比值,即为该产品的光泽度。因此产品的光泽度可表示为:

其中Is(θ)为入射角为θ时标准样品的镜面光强反射量示值读数,Im(θ)为入射角为日时待测产品的光强反射量的示值读数。通常情况下,取入射光为45°角入射或垂直入射。