光泽度仪是测定材料表面光泽度的仪器,即以发自标准光源的光从一定角度照射的试样表面,由光电池和检流计测定正反射成分的装置。本文对光泽度仪的几何光路结构及几何测量角度做了介绍。

800彩票按光泽度计的照明光束和接收光束分,光泽度计有两类:一类是平行光路,另一类是会聚光路。光泽度仪结构一般采用平行光路的方法。这种结构具有相同的照明视场角和接收视场角,如下图所示。光源一般采用标准A光源。从光源发出的光,经过升温滤光片,再经过聚光镜照到入射视场光阑处,经入射透镜照射到被测样品处。然后,从被测样品表面反射,经过接收透镜、接收视场光阑、滤光片后射到接收器光电池上,经过电学处理后进行显示。入射、接收光视场光阑用来控制入射光斑和接收光斑的大小。


为了保证仪器的测量准确度,仪器要有较高的定位准确度。
800彩票在此仪器中,光源要用稳压电源,探测器(光电池)的光谱灵敏度经V(λ)滤光片修正后,与CIE标准光度观察者的光谱光视效率V(λ)相符。
镜向光泽度计的几何条件主要是指入射角的大小,有关测试标准对入射角和接收角及其公差也作了规定。入射角在光泽测量中极为重要,通常用 20°,45°,60°,75°,85°,它们分别用于不同样品的测量。一般来说,大角度用于低光泽样品,小角度用于高光泽样品,中角度使用范围较宽。下表是有关标准推荐的使用举例。

1.几何条件
入射光线的轴线应分别与测量平面的垂线成(20±0.1)°、(60±0.1)°、(85±0.1)°,入射光束的孔径为18mm。接收器的轴线与入射光线轴线的镜像的角度在±0.1°之内。在试验板位置放置一块抛光黑玻璃平板或正面反射镜时,光源的镜象应在接收器视场光阑(接收器窗口)的中心位置形成(如上图所示)。为了确保覆盖整个表面,试验板面照射区域的宽度应尽可能大于表面结构:一般值为不小于10mm,光源镜像和接收器的孔径以及相关尺寸及其允许偏差应符合下表的规定。接收器视场光阑的孔径尺寸可从接受透镜测得。

2.接收器中的滤光
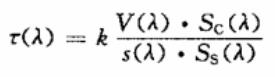
接收器中滤光器的滤光修正函数τ(λ)按下式计算:

式中:
800彩票τ(λ)——修正函数;
V(λ)——CIE光的发光效率;
Sc(λ)——CIE标准照射C的光谱强度;
800彩票s(λ)——接收器的感光灵敏度;
Ss(λ)———照射光源的光谱强度;
k——校准系数。
注:选择偏差的目的是使光源和接收器孔径的误差在100光泽单位内的任何读数不会产生超过1光泽单位的读数误差。
3.晕映
在光泽度仪几何条件中规定的张角范围内不应出现晕映。
4.接收器
在满刻度读数的1%范围内,接收器测量装置给出的读数应与通过接收器的光通量成正比。